Inhalt überspringen

Monatliches Asset-Allokations-Update – April 2026

Unsere aktuellen Markteinschätzungen und Einblicke in die Portfolioausrichtung

April 2026

Transkript ansehen

Hello, I’m Eva Wu, and I’m pleased to share our April 2026 monthly asset allocation update.

Let me walk through what has driven markets this month, how markets have responded, and how we have positioned portfolios.

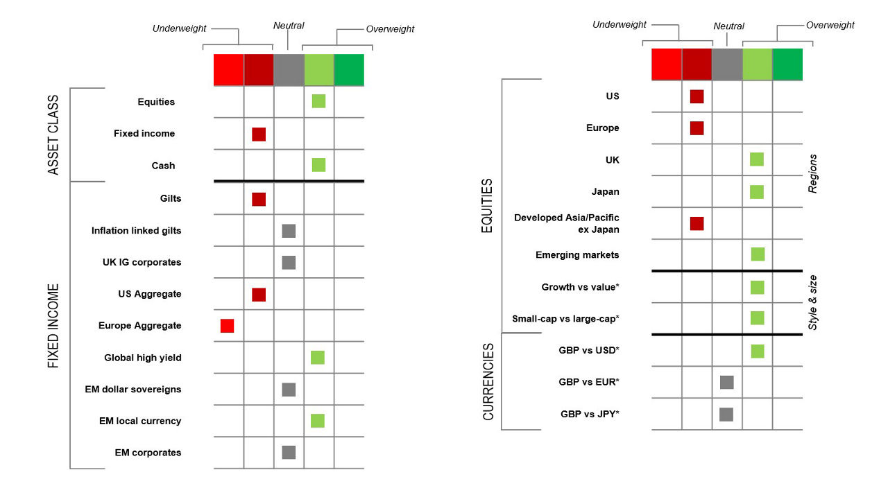
First, markets are being driven by a clear macro chain: geopolitics, oil, inflation, and policy. Disruptions to energy flows, particularly through the Strait of Hormuz, have introduced a meaningful supply shock, pushing energy prices higher and raising the risk of more persistent inflation. While there are signs of potential de-escalation, the timing remains uncertain, and markets are increasingly focused on second-order effects—how higher energy costs feed through to inflation, government and central bank policy and, ultimately, growth.

Second, despite the uncertain backdrop, markets have remained relatively resilient. Equity markets have been supported by still-decent real growth rates, earnings expectations and ongoing AI investment. However, beneath the surface, leadership has continued to rotate away from large-cap growth and toward value and more cyclical areas. At the same time, investors are increasingly focused on the returns from AI-related capex, as well as potential risks in areas such as private credit. In fixed income, the adjustment has been more pronounced. Yields have repriced higher, particularly at the front end, reflecting inflation concerns, while credit spreads have widened modestly but remain orderly.

As a result, we have positioned portfolios more cautiously, while remaining modestly risk-on. We reduced our overall equity overweight and shifted away from more energy-sensitive regions such as Europe, while increasing our tilt toward more resilient areas, including US large-cap value. In fixed income, we added back some duration to take profits as yields have moved higher, while remaining cautious overall. We also reduced our exposure to emerging market debt to limit risk and increased cash slightly to maintain flexibility.

Overall, while the current shock will likely pass, it may take longer than expected. We remain focused on diversification, inflation resilience and maintaining flexibility as markets adjust to a more uncertain environment.

Thank you for listening, and we look forward to sharing our next update in May.

 

Global asset allocation - as of March 2026

* For pairwise decisions in style, market capitalisation and currencies, positioning within boxes represents positioning in the first‑mentioned asset class relative to the second asset class.
The global asset allocation views are informed by T. Rowe Price Europe and UK regional investment committees. This material is not intended to be investment advice or a recommendation to take any particular investment action.
As of March 2026.

Transkript

Guten Tag, mein Name ist Eva Wu, und ich freue mich, Ihnen unser monatliches Asset-Allokations-Update für April 2026 vorzustellen.

Ich möchte Sie durch die wesentlichen Markttreiber dieses Monats führen, erläutern, wie die Märkte darauf reagiert haben, und darlegen, wie wir unsere Portfolios positioniert haben.

Erstens werden die Märkte derzeit von einer klaren makroökonomischen Wirkungskette bestimmt: Geopolitik, Öl, Inflation und Geldpolitik. Störungen der Energieflüsse, insbesondere in der Straße von Hormus, haben einen spürbaren Angebotsschock ausgelöst, der die Energiepreise nach oben treibt und das Risiko einer persistenteren Inflation erhöht. Zwar gibt es Anzeichen für eine mögliche Deeskalation, der Zeitpunkt bleibt jedoch ungewiss. Die Märkte richten ihren Fokus zunehmend auf Zweitrundeneffekte – also darauf, wie sich höhere Energiekosten auf die Inflation, die Fiskal- und Geldpolitik sowie letztlich auf das Wachstum auswirken.

Zweitens haben sich die Märkte trotz des unsicheren Umfelds bislang relativ robust gezeigt. Die Aktienmärkte wurden weiterhin von soliden realen Wachstumsraten, Gewinnprognosen und anhaltenden Investitionen in Künstliche Intelligenz gestützt. Unter der Oberfläche ist jedoch eine anhaltende Rotation zu beobachten – weg von großkapitalisierten Wachstumswerten hin zu Value-Titeln und stärker zyklischen Segmenten. Gleichzeitig richten Investoren ihren Blick verstärkt auf die Renditen aus KI-bezogenen Investitionsausgaben sowie auf potenzielle Risiken, etwa im Bereich Private Credit. Im Rentenmarkt fiel die Anpassung deutlicher aus: Die Renditen haben sich – insbesondere am kurzen Ende – nach oben bewegt, was die Inflationssorgen widerspiegelt. Die Kreditspreads haben sich moderat ausgeweitet, bleiben jedoch insgesamt geordnet.

Vor diesem Hintergrund haben wir unsere Portfolios vorsichtiger ausgerichtet, bleiben jedoch moderat risikobereit. Wir haben unsere Übergewichtung in Aktien insgesamt reduziert und die Allokation in stärker energieabhängigen Regionen wie Europa zurückgefahren. Gleichzeitig haben wir die Gewichtung in robusteren Marktsegmenten erhöht, insbesondere in US-amerikanischen Large-Cap-Value-Titeln. Im Rentenbereich haben wir die Duration teilweise wieder erhöht, um nach dem Renditeanstieg Gewinne mitzunehmen, bleiben insgesamt jedoch vorsichtig positioniert. Darüber hinaus haben wir unser Engagement in Schwellenländeranleihen reduziert, um Risiken zu begrenzen, und die Kassenquote leicht erhöht, um Flexibilität zu wahren.

Insgesamt gehen wir davon aus, dass der aktuelle Schock zwar vorübergehen dürfte, die Anpassungsphase jedoch länger dauern könnte als erwartet. Unser Fokus liegt weiterhin auf Diversifikation, Inflationsresilienz und der Wahrung von Flexibilität, während sich die Märkte an ein unsichereres Umfeld anpassen.

Vielen Dank für Ihre Aufmerksamkeit. Wir freuen uns, Ihnen im Mai unser nächstes Update präsentieren zu dürfen.

Navy background with multi-color boxes Mai 2026 Investment Insight

Monatliches Asset-Allokation-Update – Mai 2026

Unsere aktuellen Markteinschätzungen und Einblicke in die Portfoliopositionierung
Navy background with multi-color boxes Mai 2026 Investment Insight

Perspektiven zur Assetallokation im Q2 2026: Wertpotenziale in Märkten aufdecken

Von   Sébastien Page, Christina Noonan

WICHTIGE HINWEISE

Dieses Material wird ausschließlich zu allgemeinen Informations- und/oder Marketingzwecken bereitgestellt. Es stellt weder eine Beratung irgendeiner Art dar noch bezweckt es, eine solche zu erbringen, einschließlich einer treuhänderischen Anlageberatung, und ist auch nicht als primäre Grundlage für eine Anlageentscheidung gedacht. Potenziellen Anlegern wird empfohlen, vor jeder Anlageentscheidung unabhängigen rechtlichen, finanziellen und steuerlichen Rat einzuholen. Die T. Rowe Price-Unternehmensgruppe, einschließlich T. Rowe Price Associates, Inc. und/oder ihrer verbundenen Unternehmen, erzielt Erträge aus Anlageprodukten und -dienstleistungen von T. Rowe Price. Die Wertentwicklung in der Vergangenheit ist kein verlässlicher Indikator für zukünftige Ergebnisse. Der Wert einer Anlage sowie die daraus erzielten Erträge können sowohl fallen als auch steigen. Anleger erhalten unter Umständen weniger zurück als den ursprünglich investierten Betrag.

Dieses Material stellt weder eine Verbreitung noch ein Angebot, eine Aufforderung, eine persönliche oder allgemeine Empfehlung oder eine Aufforderung zum Kauf oder Verkauf von Wertpapieren in irgendeiner Rechtsordnung dar und dient auch nicht dazu, eine bestimmte Anlagestrategie umzusetzen. Das Material wurde von keiner Aufsichtsbehörde in irgendeiner Rechtsordnung geprüft.

Die hierin enthaltenen Informationen und Einschätzungen stammen aus Quellen, die als zuverlässig und aktuell erachtet werden; eine Gewähr für deren Richtigkeit oder Vollständigkeit wird jedoch nicht übernommen. Es kann nicht garantiert werden, dass etwaige Prognosen eintreten. Die hierin geäußerten Ansichten entsprechen dem Stand zum auf dem Material angegebenen Datum und können sich ohne vorherige Ankündigung ändern; sie können von den Ansichten anderer Gesellschaften der T. Rowe Price-Unternehmensgruppe und/oder deren Mitarbeiter abweichen. Das Material darf weder ganz noch teilweise ohne vorherige Zustimmung von T. Rowe Price vervielfältigt oder weiterverbreitet werden.

Das Material ist nicht zur Verwendung durch Personen in Rechtsordnungen bestimmt, in denen die Verbreitung untersagt oder eingeschränkt ist; in bestimmten Ländern wird es ausschließlich auf ausdrückliche Anfrage zur Verfügung gestellt.

Es ist nicht zur Weitergabe an Privatanleger in irgendeiner Rechtsordnung bestimmt.

202604-5342491