Skip to content
Search
By   Eva Wu, CFA

Monthly Asset Allocation Update – April 2026

Our latest market perspectives and portfolio positioning insights

April 2026

View Transcript

Hello, I’m Eva Wu, and I’m pleased to share our April 2026 monthly asset allocation update.

Let me walk through what has driven markets this month, how markets have responded, and how we have positioned portfolios.

First, markets are being driven by a clear macro chain: geopolitics, oil, inflation, and policy. Disruptions to energy flows, particularly through the Strait of Hormuz, have introduced a meaningful supply shock, pushing energy prices higher and raising the risk of more persistent inflation. While there are signs of potential de-escalation, the timing remains uncertain, and markets are increasingly focused on second-order effects—how higher energy costs feed through to inflation, government and central bank policy and, ultimately, growth.

Second, despite the uncertain backdrop, markets have remained relatively resilient. Equity markets have been supported by still-decent real growth rates, earnings expectations and ongoing AI investment. However, beneath the surface, leadership has continued to rotate away from large-cap growth and toward value and more cyclical areas. At the same time, investors are increasingly focused on the returns from AI-related capex, as well as potential risks in areas such as private credit. In fixed income, the adjustment has been more pronounced. Yields have repriced higher, particularly at the front end, reflecting inflation concerns, while credit spreads have widened modestly but remain orderly.

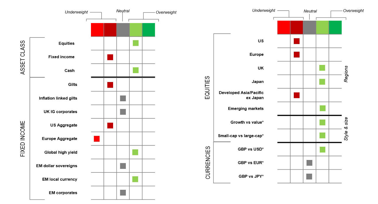
As a result, we have positioned portfolios more cautiously, while remaining modestly risk-on. We reduced our overall equity overweight and shifted away from more energy-sensitive regions such as Europe, while increasing our tilt toward more resilient areas, including US large-cap value. In fixed income, we added back some duration to take profits as yields have moved higher, while remaining cautious overall. We also reduced our exposure to emerging market debt to limit risk and increased cash slightly to maintain flexibility.

Overall, while the current shock will likely pass, it may take longer than expected. We remain focused on diversification, inflation resilience and maintaining flexibility as markets adjust to a more uncertain environment.

Thank you for listening, and we look forward to sharing our next update in May.

 

Global asset allocation - as of March 2026

* For pairwise decisions in style, market capitalisation and currencies, positioning within boxes represents positioning in the first‑mentioned asset class relative to the second asset class.
The global asset allocation views are informed by T. Rowe Price Europe and UK regional investment committees. This material is not intended to be investment advice or a recommendation to take any particular investment action.
As of March 2026.

Transcript

Hello, I’m Eva Wu, and I’m pleased to share our April 2026 monthly asset allocation update.

Let me walk through what has driven markets this month, how markets have responded, and how we have positioned portfolios.

First, markets are being driven by a clear macro chain: geopolitics, oil, inflation, and policy. Disruptions to energy flows, particularly through the Strait of Hormuz, have introduced a meaningful supply shock, pushing energy prices higher and raising the risk of more persistent inflation. While there are signs of potential de-escalation, the timing remains uncertain, and markets are increasingly focused on second-order effects—how higher energy costs feed through to inflation, government and central bank policy and, ultimately, growth.

Second, despite the uncertain backdrop, markets have remained relatively resilient. Equity markets have been supported by still-decent real growth rates, earnings expectations and ongoing AI investment. However, beneath the surface, leadership has continued to rotate away from large-cap growth and toward value and more cyclical areas. At the same time, investors are increasingly focused on the returns from AI-related capex, as well as potential risks in areas such as private credit. In fixed income, the adjustment has been more pronounced. Yields have repriced higher, particularly at the front end, reflecting inflation concerns, while credit spreads have widened modestly but remain orderly.

As a result, we have positioned portfolios more cautiously, while remaining modestly risk-on. We reduced our overall equity overweight and shifted away from more energy-sensitive regions such as Europe, while increasing our tilt toward more resilient areas, including US large-cap value. In fixed income, we added back some duration to take profits as yields have moved higher, while remaining cautious overall. We also reduced our exposure to emerging market debt to limit risk and increased cash slightly to maintain flexibility.

Overall, while the current shock will likely pass, it may take longer than expected. We remain focused on diversification, inflation resilience and maintaining flexibility as markets adjust to a more uncertain environment.

Thank you for listening, and we look forward to sharing our next update in May.

Eva Wu, CFA Associate Solutions Strategist
Apr 2026 Investment Insight

Benchmarking equity exposure within multi-asset portfolios

By   Michael Walsh, CFA, CAIA®, FIA, Matt Bance, CFA, Christopher Saloway, CFA
Mar 2026 From the Field Article

Looking through the crisis: Asset Allocation Committee views

Multi-asset perspectives on the oil supply shock
By   Sébastien Page, CFA

 

IMPORTANT INFORMATION

This material is being furnished for general informational and/or marketing purposes only. The material does not constitute or undertake to give advice of any nature, including fiduciary investment advice, nor is it intended to serve as the primary basis for an investment decision. Prospective investors are recommended to seek independent legal, financial and tax advice before making any investment decision. T. Rowe Price group of companies including T. Rowe Price Associates, Inc. and/or its affiliates receive revenue from T. Rowe Price investment products and services. Past performance is not a reliable indicator of future performance. The value of an investment and any income from it can go down as well as up. Investors may get back less than the amount invested.

The material does not constitute a distribution, an offer, an invitation, a personal or general recommendation or solicitation to sell or buy any securities in any jurisdiction or to conduct any particular investment activity. The material has not been reviewed by any regulatory authority in any jurisdiction.

Information and opinions presented have been obtained or derived from sources believed to be reliable and current; however, we cannot guarantee the sources' accuracy or completeness. There is no guarantee that any forecasts made will come to pass. The views contained herein are as of the date noted on the material and are subject to change without notice; these views may differ from those of other T. Rowe Price group companies and/or associates. Under no circumstances should the material, in whole or in part, be copied or redistributed without consent from T. Rowe Price.

The material is not intended for use by persons in jurisdictions which prohibit or restrict the distribution of the material and in certain countries the material is provided upon specific request.  

It is not intended for distribution to retail investors in any jurisdiction.

202604-5342491

Open

Audience for the document: Share Class: Language of the document:
Open Cancel

Open

Share Class: Language of the document:
Open Cancel
Sign in to manage subscriptions for products, insights and email updates.
Sign in
Once registered, you'll be able to start subscribing.

By clicking the Continue button, I acknowledge that I have read and accepted the Privacy Notice

Continue Back

Change Details

If you need to change your email address please contact us.
Subscriptions
OK
You are ready to start subscribing.
Get started by going to our products or insights section to follow what you're interested in.

Products Insights

GIPS® Information

T. Rowe Price (“TRP”) claims compliance with the Global Investment Performance Standards (GIPS®).

A complete list and description of the Firm's composites and/or a presentation that adheres to the GIPS® standards are available upon request. Additional information regarding the firm's policies and procedures for calculating and reporting performance results is available upon request

Other Literature

You have successfully subscribed.

Notify me by email when
regular data and commentary is available
exceptional commentary is available
new articles become available

Thank you for your continued interest